农业绿色发展科学与工程团队在全波段太阳诱导叶绿素荧光反演研究中取得重要进展
发布者:管理员发布时间:2025-02-14作者:高懋芳来源:农业绿色发展科学与工程团队点击量:
近日,中国农业科学院农业资源与农业区划研究所农业绿色发展科学与工程创新团队在全波段太阳诱导叶绿素荧光(SIF)反演研究领域取得重要进展。相关成果以"FSM: A Reflectance Reconstruction Method to Retrieve Full-Spectrum Sun-Induced Chlorophyll Fluorescence From Canopy Measurements"为题,发表在《IEEE Transactions on Geoscience and Remote Sensing》上。
太阳诱导叶绿素荧光是植物光合作用的天然探针,能够直接反映植被的光合作用动态。与单波段SIF相比,全波段SIF能够提供更全面的植物生理信息,已成为植被遥感研究的前沿热点。然而,现有反演技术存在对反射率训练数据集依赖性强、反演结果光谱范围受限等问题,制约了全波段SIF的广泛应用。
针对这一科学难题,研究团队创新性地提出了一种基于傅里叶级数的全波段SIF反演方法(FSM)。该方法通过采用高阶傅里叶级数展开式的连续求和来近似光谱范围内的反射率数据,突破了传统算法的局限性。研究结果表明,FSM方法显著提升了算法对不同种类光谱数据的适应性,为全波段SIF的精确反演提供了新的技术手段。这项研究成果不仅推动了全波段SIF反演技术的发展,也为精准农业、生态系统监测等领域提供了重要的技术支撑,对促进农业绿色发展具有重要意义。
中国农业科学院农业资源与农业区划研究所李石磊博士为论文第一作者,高懋芳研究员为通讯作者。该研究得到了北方干旱半干旱耕地高效利用全国重点实验室、国家重点研发计划、国家自然科学基金创新群体等项目的资助。法国斯特拉斯堡大学和荷兰特温特大学的研究人员共同参与了此项研究。

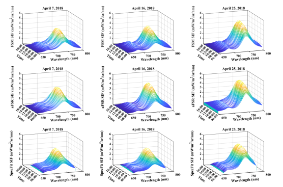
图1展示了各算法从不同站点观测数据中反演的全波段SIF日变化结果的对比。

图2呈现了基于不同站点实测数据的单波段SIF反演结果对比。
原文链接:https://ieeexplore.ieee.org/document/10735100