农业遥感团队提出地表温度时间尺度扩展的系列方法
发布者:管理员发布时间:2024-02-04作者:刘向阳来源:农业遥感团队点击量:
地表温度是能量平衡和水量平衡的关键参数,对农业、气象、生态和水文等研究至关重要。尽管目前已发布了十余种地表温度遥感产品,但它们只能提供卫星过境时的瞬时温度,易受环境影响,难以反映长期温度变化。为了解决这一问题,农业遥感团队通过理论完善、算法发展和数据研发,在地表温度时间尺度扩展方面取得了系列科研进展,研究成果发表在《ISPRS Journal of Photogrammetry and Remote Sensing》《IEEE Transactions on Geoscience and Remote Sensing》和《Remote Sensing of Environment》等遥感领域旗舰期刊。
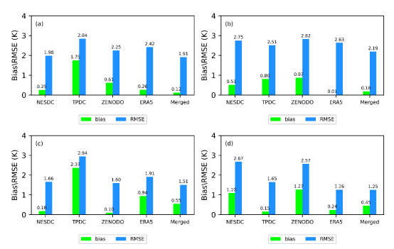
针对以往使用简单平均方法带来的正向偏差和空间覆盖不完整的研究不足,根据卫星过境时刻特点,开发了9种包含权重系数的时刻组合,以更准确地估算日均地表温度。在此基础上,分析不同时间聚合策略的影响,并引入晴空率作为判断指标,优化月均温度的估算方法。同时,首次将广义三角帽精度评价方法应用于温度领域,通过最大似然估计和不确定度分析,融合多种数据优势,提高了月均地表温度的估算精度。利用这些算法,生产出1公里和5公里分辨率的月均地表温度数据集,并在ZENODO平台和国家青藏高原科学数据中心免费共享。
上述研究得到国家自然科学基金创新研究群体项目“农业遥感机理与方法”资助。

图1.单一数据源月均温度和融合后月均温度的精度对比

图2.基于自研均温数据获取的全球地表温度变化趋势
原文链接:
1. https://www.sciencedirect.com/science/article/abs/pii/S0924271621001507
2. https://ieeexplore.ieee.org/document/10049535
3. https://www.sciencedirect.com/science/article/abs/pii/S0034425723005412
数据链接:
1公里月均温度:https://zenodo.org/records/6618442#.YqB1UoRByUl
5公里月均温度:https://data.tpdc.ac.cn/zh-hans/data/9fb5f9ab-de41-40f0-8786-df0599b63936