肥料及施肥技术创新团队新添绿肥在水稻生产中的节肥丰产增效又一力证
发布者:管理员发布时间:2023-02-21作者:周国朋来源:肥料及施肥技术团队点击量:
近日,中国农业科学院农业资源与农业区划研究所肥料及施肥技术创新团队基于江西典型双季稻区定位试验,有效证明了绿肥与减量化肥配施能够提高水稻产量和氮、磷、钾肥利用率。相关成果以“Application of milk vetch ( Astragalus sinicus L.) with reduced chemical fertilizer improves rice yield and nitrogen, phosphorus, and potassium use efficiency in southern China”为题发表在国际期刊《European Journal of Agronomy》上。
绿肥是化肥减量和耕地质量提升的重要手段。在我国南方稻区,种植翻压紫云英,并进行合理的养分管理,对维持水稻高产稳产、提高肥料利用率具有重要意义。紫云英的减肥增效效果与翻压量密切相关,适量的紫云英与化肥配施更有利于水稻生长,改善土壤肥力和提升肥料利用率。
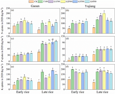
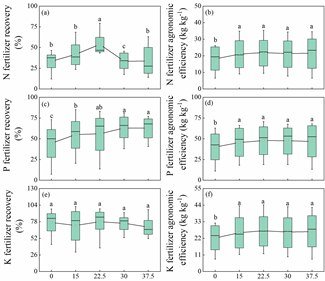
本研究利用江西典型双季稻区的2个长期定位试验,探索减量化肥配施不同量紫云英对水稻产量及水稻对氮、磷、钾肥吸收利用的影响。与常规施肥相比,在减施20%化肥条件下翻压不同量紫云英可提高或维持水稻产量,磷肥回收率提高23.1%–36.4%,氮、磷、钾肥农学利用率分别提高16.1%–21.1%,13.9%–19.6%和15.7%–21.4%,同时改善土壤肥力。紫云英翻压量为22.5 t ha -1且减施20%化肥时效果最好。表明在双季稻系统中,用紫云英替代部分早稻季N、P、K肥,可以保证水稻产量,实现氮、磷、钾肥的高效利用,回收率分别可达40.7%、59.2%和73.9%。

图1 高安、余江两地多年水稻产量

图2 水稻植株氮、磷、钾吸收量

图3 不同紫云英翻压量下的肥料利用率
中国农业科学院农业资源与农业区划研究所曹卫东研究员指导的南京农业大学资源与环境科学学院博士研究生范倩玉及江西省农业科学院土壤肥料与资源环境研究所徐昌旭研究员为本文共同第一作者,南京农业大学资源与环境科学学院高嵩涓博士与曹卫东研究员为本文共同通讯作者。研究得到了国家重点研发计划(2021YFD1700200)、国家绿肥产业技术体系(CARS-22)项目的共同资助。
引用格式:
Fan Q.Y., Xu C.X., Zhang L., Xie J.C., Zhou G.P., Liu J., Hu F., Gao S.J., Cao W.D. 2023. Application of milk vetch ( Astragalus sinicus L.) with reduced chemical fertilizer improves rice yield and nitrogen, phosphorus, and potassium use efficiency in southern China. European Journal of Agronomy. 144, 126762.
原文链接:
https://doi.org/10.1016/j.eja.2023.126762