草地生态遥感创新团队揭示草原土壤种子库的关键性助力草地生态修复
发布者:管理员发布时间:2023-12-07作者:闫瑞瑞来源:草地生态遥感团队点击量:
中国农业科学院农业资源与农业区划研究所草地生态遥感创新团队在揭示草原土壤种子库的关键性,助力草地生态修复方面取得重要进展,相关成果以“Effects of different grassland utilization methods on the germinable soil seed bank of the Hulunbuir meadow steppe”为题发表在《Frontiers in Plant Science》(IF = 5.6)上。
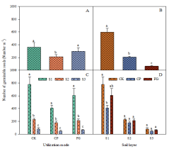
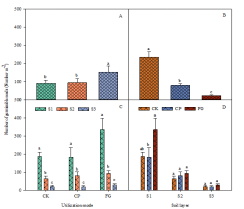
草原土壤种子库是维护地上植被的重要资源,其变化模式对于理解地下种子库的变化具有巨大的意义。团队成员比较了自由放牧、围栏封育和长期刈割利用下土壤种子库的发芽特性,将结果与先前研究的数据进行综合分析。研究结果表明,不同的草地利用和土壤深度显著影响了土壤种子库和多年生植物种子库的密度。放牧和围封草地利用方式增加了土壤种子库的含量,而刈割则降低了种子库的含量。多年生植物种子库的密度在放牧下最高,其次是刈割。放牧不仅促进了多年生植物种子库的发芽,还大幅增加了其含量。刈割抑制了上层生长的植物种子库的发芽,这一影响在0-2厘米土层尤为显著。上层生长的植物种子库的含量在一定程度上影响了总的种子库,主要是在5-10厘米土层。这项研究的发现为保护草原生态系统提供更有效的保障,为生态修复工作提供科学依据,强调了土壤种子库在草地管理和保护中的关键作用,为我们更好地理解和维护草原态系统提供了重要线索。




中国农业科学院农业资源与农业区划研究所闫瑞瑞研究员与俞天琦硕士为共同第一作者,辛晓平研究员与刘红梅研究员为共同通讯作者。这项成果得到了国家重点研发计划(2021YFF0703904、2021YFD1300503)、中国国家自然科学基金(31971769、32130070)等项目的资助支持。
【引文方式及原文链接】:
Yan R, Yu T, Liu H, Lv S, Chen B, Wu Y,Que G, Wei Z, Xu L, Zhu X, Yang G and Xin X (2023) Effects of different grassland utilization methods on the germinable soil seed bank of the Hulunbuir meadow steppe.Front. Plant Sci. 14:1230725.doi: 10.3389/fpls.2023.1230725
原文链接:https://doi.org/10.3389/fpls.2023.1230725