Home» Research» Publication» IARRP team proposes methods for temporal scale extension of land surface temperature

IARRP team proposes methods for temporal scale extension of land surface temperature

IARRP | Updated: 2024-02-05

Land surface temperature is a critical parameter for energy balance and water balance, and it is essential for research in agriculture, meteorology, ecology, and hydrology. Despite the existence of over a dozen of remote sensing products for land surface temperature, they only provide instantaneous temperatures at the time of satellite overpasses, making them susceptible to environmental influences and unable to reflect long-term temperature changes. To address this issue, the Innovation Team of Agricultural Remote Sensing of the Institute of Agricultural Resources and Regional Planning (IARRP) of the Chinese Academy of Agricultural Sciences (CAAS) has made a series of scientific advancements in extending the temporal scale of land surface temperature through theoretical refinement, algorithm development, and data generation. Their research findings have been published in leading remote sensing journals such as "ISPRS Journal of Photogrammetry and Remote Sensing," "IEEE Transactions on Geoscience and Remote Sensing," and "Remote Sensing of Environment."

In response to the shortcomings of previous studies, which used simple averaging methods resulting in positive biases and incomplete spatial coverage, the team developed nine moment combinations with weighting coefficients based on the characteristics of satellite overpass times to more accurately estimate daily mean land surface temperature. Building upon this, they analyzed the impact of different time aggregation strategies and introduced cloud cover as a judgment indicator to optimize the method for estimating monthly mean temperatures.

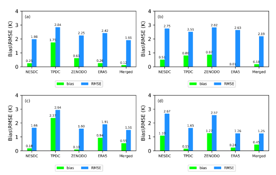
Additionally, they applied the generalized triangle hat accuracy assessment method to the temperature variable for the first time, enhancing the estimation accuracy of monthly mean land surface temperatures by integrating the advantages of various data through maximum likelihood estimation and uncertainty analysis. Using these algorithms, they produced monthly mean land surface temperature datasets at 1-kilometer and 5-kilometer resolutions, which are freely shared on the ZENODO platform and the National Tibetan Plateau Scientific Data Center.

The aforementioned research was supported by the National Natural Science Foundation's Innovative Research Group Project "Agricultural Remote Sensing Mechanism and Methods."

图片1.png

Figure 1: Comparison of accuracy between monthly mean temperatures from a single data source and fused monthly mean temperatures

图片2.png

Figure 2: Global land surface temperature trend based on self-developed mean temperature data

Paper Links:

1. https://www.sciencedirect.com/science/article/abs/pii/S0924271621001507 

2. https://ieeexplore.ieee.org/document/10049535 

3. https://www.sciencedirect.com/science/article/abs/pii/S0034425723005412 

Data Links:

1 km Monthly Mean Temperature:

https://zenodo.org/records/6618442#.YqB1UoRByUl 

5 km Monthly Mean Temperature:

https://data.tpdc.ac.cn/zh-hans/data/9fb5f9ab-de41-40f0-8786-df0599b63936