Home» News» Updates» IARRP team proves that the combination of green manure and reduced fertilizer can improve rice yield and nitrogen, phosphorus, and potassium use efficiency

IARRP team proves that the combination of green manure and reduced fertilizer can improve rice yield and nitrogen, phosphorus, and potassium use efficiency

IARRP | Updated: 2023-02-28

The Innovation Team of Fertilizer and Fertilization Technology of the Institute of Agricultural Resources and Regional Planning (IARRP) of the Chinese Academy of Agricultural Sciences (CAAS), based on the positioning experiment of a typical double-rice cropping area in Jiangxi, effectively proved that the combination of green manure and reduced fertilizer can improve rice yield and nitrogen, phosphorus, and potassium fertilizer use efficiency.

The related results were published in the international journal "European Journal of Agronomy" with the title "Application of milk vetch (Astragalus sinicus L.) with reduced chemical fertilizer improves rice yield and nitrogen, phosphorus, and potassium use efficiency in southern China".

Green manure is an important method by which to reduce the application amounts of chemical fertilizers and improve the quality of cultivated land. The utilization of green manure during winter fallow is important for increasing rice yield and fertilizer efficiency in southern China. The effects of replacing chemical fertilizer with milk vetch is closely related to the amount of milk vetch The appropriate amount of milk vetch combined with chemical fertilizers is more conducive to the growth of rice, improving soil fertility and fertilizer utilization.

In this study, two long-term positioning experiments in typical double-rice cropping areas in Jiangxi were selected to explore the effects of different amounts of milk vetch on rice yield and utilization of nitrogen, phosphorus, and potassium under the condition of 20% reduction of chemical fertilizer.

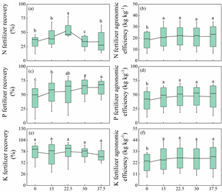
Compared with conventional fertilization, under the condition of 20% reduction of chemical fertilizers, different amounts of milk vetch can increase or maintain rice yields, enhanced the phosphorus fertilizer recovery efficiency by 23.1-36.4%, and the agronomic efficiency of nitrogen, phosphorus and potassium fertilizers is increased by 16.1-21.1%, 13.9-19.6% and 15.7-21.4% respectively. This also improves soil fertility. The effect of milk vetch was best when the incorporation amount was 22.5 t ha -1 and the application of chemical fertilizer was reduced by 20%.

It shows that in the double-cropping rice system, substituting milk vetch for part of the N, P, and K fertilizers in the early rice season, can ensure rice yields and realize the efficient utilization of nitrogen, phosphorus, and potassium fertilizers, and the recovery efficiency can reach 40.7%, 59.2%, and 73.9%, respectively.

Figure 1 Rice yields in Gaoan and Yujiang over the years

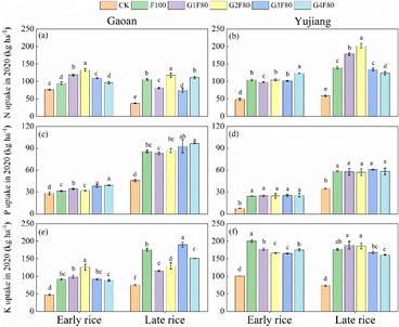
Figure 2 Nitrogen, phosphorus, and potassium uptake by rice plants

Fig. 3 Fertilizer use efficiency under different application amount of milk vetch

Fan Qianyu, a doctoral student at the School of Resources and Environmental Sciences of Nanjing Agricultural University, under the supervision of researcher Cao Weidong from the IARRP, and Xu Changxu, a researcher from the Institute of Soil, Fertilizer and Resources and Environment, Jiangxi Academy of Agricultural Sciences, are the co-first authors of this paper. Dr. Gao Songjuan of Nanjing Agricultural University and Researcher Cao Weidong from the School of Environmental Science are the co-corresponding authors of this paper. The research was co-funded by the National Key R&D Program (2021YFD1700200) and the earmarked fund for China Agriculture Research System-Green Manure (CARS-22).

Citation format:

Fan Q.Y., Xu C.X., Zhang L., Xie J.C., Zhou G.P., Liu J., Hu F., Gao S.J., Cao W.D. 2023. Application of milk vetch (Astragalus sinicus L.) with reduced chemical fertilizer improves rice yield and nitrogen, phosphorus, and potassium use efficiency in southern China. European Journal of Agronomy. 144, 126762.

Paper link:

https://doi.org/10.1016/j.eja.2023.126762