Home» News» Updates» IARRP team advances in full-spectrum Sun-induced Chlorophyll Fluorescence inversion research

IARRP team advances in full-spectrum Sun-induced Chlorophyll Fluorescence inversion research

IARRP | Updated: 2025-02-21

The Agricultural Green Development Science and Engineering Innovation Team at the Institute of Agricultural Resources and Regional Planning (IARRP), Chinese Academy of Agricultural Sciences (CAAS), has achieved a major breakthrough in full-spectrum Sun-Induced Chlorophyll Fluorescence (SIF) inversion research. Their groundbreaking research, titled "FSM: A Reflectance Reconstruction Method to Retrieve Full-Spectrum Sun-Induced Chlorophyll Fluorescence From Canopy Measurements," was published in the prestigious journal "IEEE Transactions on Geoscience and Remote Sensing."

Sun-induced chlorophyll fluorescence is a natural probe for plant photosynthesis that directly reflects the dynamic photosynthetic activity of vegetation. In comparison to single-band SIF, full-spectrum SIF can provide more comprehensive physiological information about plants and has become a forefront topic in vegetation remote sensing research. However, existing inversion techniques have limitations such as strong dependence on reflectance training datasets and a restricted spectral range of inversion results, hindering the widespread application of full-spectrum SIF.

Addressing this scientific challenge, the research team innovatively proposed a full-spectrum SIF inversion method based on Fourier series (FSM). This method approximates reflectance data within the spectral range through the continuous summation of high-order Fourier series expansions, breaking through the limitations of traditional algorithms. Research results indicate that the FSM method significantly enhances the adaptability of the algorithm to different types of spectral data, offering new technical solutions for the accurate inversion of full-spectrum SIF. This research achievement not only advances the development of full-spectrum SIF inversion technology but also provides important technical support for precision agriculture, ecosystem monitoring, and other fields, significantly contributing to promoting agricultural green development.

Dr. Li Shilei from the IARRP is the first author of the paper, with Researcher Gao Maofang as the corresponding author. The research received funding from the State Key Laboratory of Efficient Utilization of Arable land in China, National Key Research and Development Program, Innovation Research Group of the National Natural Science Foundation of China, and other projects. Researchers from the University of Strasbourg in France and the University of Twente in the Netherlands also participated in this study.

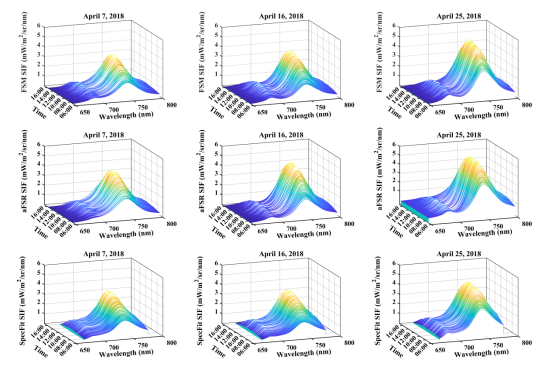
1.png

Figure 1 displays the comparison of the daily variation results of full spectrum SIF inversion from different observation data at various sites by different algorithms.

2.png

Figure 2 presents the comparison of single-band SIF inversion results based on different site-measured data.

Original Article Link: 

https://ieeexplore.ieee.org/document/10735100