Home» News» Updates» IARRP team achieves series of results in evaluating the suitability of conservation tillage in black soil region of Northeast China

IARRP team achieves series of results in evaluating the suitability of conservation tillage in black soil region of Northeast China

IARRP | Updated: 2024-12-17

The team from the Institute of Agricultural Resources and Regional Planning (IARRP) at the Chinese Academy of Agricultural Sciences conducted a systematic evaluation of conservation tillage suitability in the Northeast Black Soil region. Their series of findings have been published in journals including "Field Crops Research", "Soil and Tillage Research", "Acta Pedologica Sinica", and "Land".

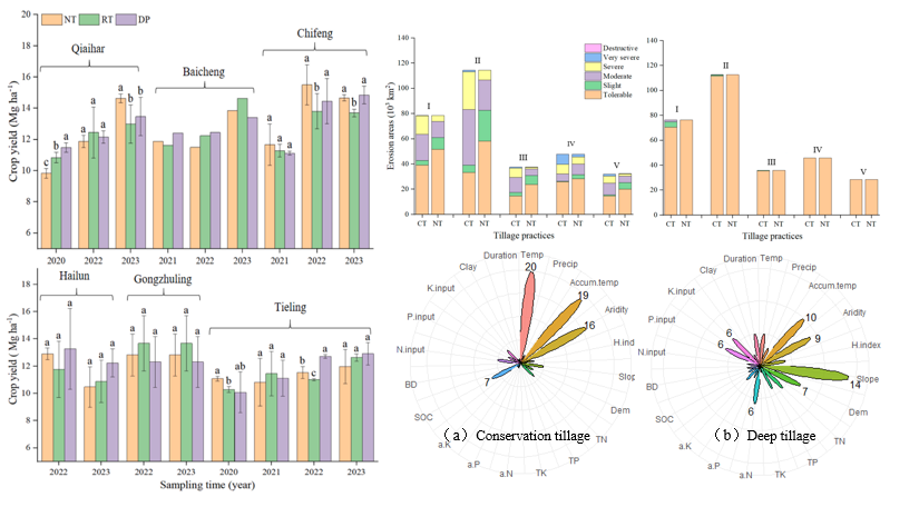
The suitability of conservation tillage (no-tillage + straw mulching) in the Northeast Black Soil region was previously unclear. To address this, the research team utilized a range of methods, including long-term field trials, regional network studies, meta-analysis, random-forest modeling, and erosion modeling for a quantitative assessment. The results revealed that conservation tillage increased soil bulk density in semi-arid regions, but had no significant effect in semi-humid areas. It significantly enhanced soil moisture content, with a more pronounced increase observed in semi-humid regions. Additionally, conservation tillage led to a reduction in soil temperature, particularly during the critical growth stage of maize seedlings, which could potentially hinder seed germination in colder regions. However, it also contributed to improvements in soil nutrients.

Regional analysis indicated that conservation tillage resulted in a modest overall yield increase of 1.2% across the Northeast Black Soil region. However, a substantial 14.6% yield increase was observed in the Liaohe River Plain, with particularly pronounced benefits in regions with wind erosion and drought stress, such as the southern Songnen Plain, the western Liaohe River Plain, and the Keerqin Sandy Land in Inner Mongolia. Furthermore, the technique showed the greatest reduction in soil erosion in areas highly susceptible to soil wind erosion (e.g. the southern Da Hinggan Mountains and the Liaohe River Plain) and water erosion (e.g. the sloping areas of the Da Hinggan Mountains, Xiao Hinggan Mountains, and Changbai Mountain hills). These findings underscore the efficacy of conservation tillage in mitigating soil loss in these ecologically sensitive areas.

图片2.png

Researcher Peng Xinhua from the Institute of Agricultural Resources and Regional Planning at the Chinese Academy of Agricultural Sciences served as the corresponding author of the paper, with Ph.D. candidate Jiang Fahui as the first author. The study was funded by the National Key Laboratory for Efficient Utilization of Dryland Farmland in Northern China, the National Natural Science Foundation, the National Key Research and Development Program, and the Technological Innovation Project for the Protection and Utilization of Black Soil.

Links to the papers:

https://www.sciencedirect.com/science/article/pii/S0378429024002612 

https://www.sciencedirect.com/science/article/pii/S0167198724003805 

http://pedologica.issas.ac.cn/trxb/article/abstract/trxb202202220070?st=article_issue 

https://www.mdpi.com/2073-445X/13/8/1219