Home» News» Researching» Innovation Team of Grassland Ecology and Remote Sensing reveals superiority and mechanism of NDPI for estimating grassland aboveground fresh biomass

Innovation Team of Grassland Ecology and Remote Sensing reveals superiority and mechanism of NDPI for estimating grassland aboveground fresh biomass

IARRP | Updated: 2021-08-05

The latest research conducted by the Innovation Team of Grassland Ecology and Remote Sensing of the Institute of Agricultural Resources and Regional Planning (IARRP), the Chinese Academy of Agricultural Sciences (CAAS), revealed the superiority and mechanism of the normalized difference phenology index (NDPI) for estimating grassland aboveground fresh biomass, which provides theoretical methods and a basis for its monitoring through remote sensing. Related research results were published online in Remote Sensing of Environment (2020 Impact Factor: 10.16), under the title “The superiority of the normalized difference phenology index (NDPI) for estimating grassland aboveground fresh biomass”.

Grassland aboveground fresh biomass is an important indicator of grassland’s productivity, utilization and health status, so its accurate monitoring and its spatial-temporal dynamics are indispensable for sustainable grassland management. The traditional quadrant sampling method features high measurement accuracy, but it is not suitable for large-scale monitoring due to high costs in time, manpower, and materials, while a method based on remote sensing technology and field measurement data can provide large-scale, multi-time-series dynamic monitoring results. Therefore, the regression model based on vegetation indices is widely used because of its simplicity and accuracy; however, the main challenge of this model remains the lack of spatial and temporal variability.

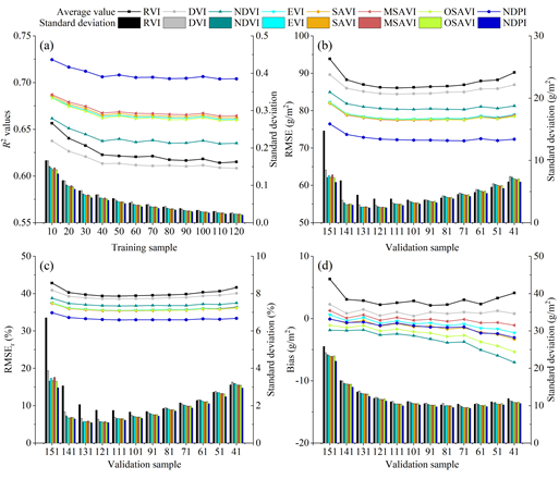
In this study, the Moderate Resolution Imaging Spectrometer (MODIS) surface reflectance products and the field measurement of aboveground fresh biomass of the natural large-scale grassland were used for analysis. Based on comparisons with the widely used ratio vegetation index (RVI), difference vegetation index (DVI), normalized difference vegetation index (NDVI), enhanced vegetation index (EVI), soil-adjusted vegetation index (SAVI), modified soil-adjusted vegetation index (MSAVI), and optimized soil-adjusted vegetation index (OSAVI), the results showed the NDPI-based model was the closest fit offering the best robustness for different sampling sizes, and superior spatial and temporal scalability.  Results from simulation experiments using the PROSAIL model also support the superiority of the NDPI in estimating grassland aboveground fresh biomass. The simulation analysis further reveals that the overall superiority of the NDPI originates from the fact that the NDPI overcomes the adverse impacts of the heterogeneity of the soil background and accounts for changes in the leaf water content that contribute substantially to aboveground fresh biomass in grassland.

This research was supported by the National Key Research and Development Program of China (Key Special Project of Intergovernmental International Cooperation in Science and Technology Innovation, Meadow Degraded Grassland Management Technology and Demonstration in Northern China), the National Natural Science Foundation of China and other projects. Dr. Xu Dawei is the first author, and research fellow Xin Xiaoping is the corresponding author.

https://doi.org/10.1016/j.rse.2021.112578